关于【费马点最值问题】,中考数学最值问题模型,今天小编给您分享一下,如果对您有所帮助别忘了关注本站哦。
- 内容导航:
- 1、费马点最值问题:初中数学几何最值-费马点问题经典题例
- 2、费马点最值问题,中考数学最值问题模型
1、费马点最值问题:初中数学几何最值-费马点问题经典题例
费马点是到三角形的三个顶点的距离之和最小的点.
费马点结论:对于一个各角不超过120°的三角形,费马点是对各边的张角都是120°的点;对于有一个角超过120°的三角形,费马点就是这个内角的顶点.
费马问题解决问题的方法是运用旋转变换.


2、费马点最值问题,中考数学最值问题模型
有一类涉及三条线段和最短问题,求解方法独特,主要是利用旋转的性质转化为两点之间线段最短的问题,比较重要的就是费马点问题,这类问题常常出现中考压轴题中最值问题和自主招生试卷中的问题中,相当一部分学生由于构造转化思想运用不合理,导致解不出问题,中考复习时有必要了解一点。
皮耶·德·费马(Pieme de Fermat)是一个17世纪的法国律师,也是一位业余数学家。之所以称业余,是由于皮耶德·费马具有律师的全职工作,他的姓氏根据法文与英文实际发普也常译为"费尔玛"(注意"玛"字)。

费马最后定理在中国习惯称为费马大定理,西方数学界原名"最后"的意思是:其它猜想都证实了,这是最后一个,著名的数学史学家灵尔(E,T.Bell)在20世纪初所援写的著作中,称皮那·德·费马为"业余数学家之王",贝尔深信,费马比皮那德费马同时代的大多数专业数学家更有成就,然而皮那德·费马并未在其他方面另有成就,本人也渐渐退出人们的视野,考虑到17世纪是杰出数学家活跃的世纪,因而贝尔认为费马是17世纪数学家中最多产的明星。
费马点问题最平是由法国数学家皮疾尔德费马在一封写给意大利数学家疾万杰利新塔托里拆利(气压计的发明者)的信中提出的,托里折利最半解决了这个问题,而19世纪的数学家新坦纳重新发现了这个问题,并系统地进行了推广,因此这个点也称为托里折利点或斯坦纳点,相关的问题也被称作费马-托里折利-斯过纳问题,这一问题的解决极大推动了联合数学的发展,在近代数学史上具有里程碑式的意义。

引例:如图在Rt△ABC,∠C=45°,AC=2√2。内找一点P,使得PA PB PC最小.

【解析】如图,在三角形内部任取一点P,连接AP、PC、PB。
将△APC绕点A旋转得△AP´C´,从而有PA PB PC=P´A P´C BP故要使得PA PB PC最小,
我们可以考虑
1 AP´转化为PP´;②BPP´C四点共线.故而有∠PAP'=60°(易得旋转60°),
∠APC=∠APB=∠BPC=120°,可得(PA PB PC)min=BC´,从而根据上数据,易得(PA PB PC)min=BC´=√2 √6.
【方法归纳】如图,到三角形三个顶点距离和最小的点,我们称其为费马点。从上探究中,我们可以得出,对于费马点而言:

1、费马点问题的解决方法为旋转变换。
2、费马点满足其所对三边张角相等(∠APC=∠APB=∠BPC=120°),故也称为三角形等角中心。
3、费马点确定:
①辅助圆做等角(120°)B's②三角形任意两边向外做等边三角形
(如图:△ACD和ABB´),则等边三角形顶点与三角形对顶点连线交点记为费马点(如图:B'C和BD交点P)
4、费马点问题求线段长
以三角形任一边向外做等边三角形,所做等边三角形(外)顶点及所对三角形顶点连线,即为所求。(如图B´C或BD均可)

1.(2019•锡山区校级二模)如图,已知矩形ABCD,AB=4,BC=6,点M为矩形内一点,点E为BC边上任意一点,则MA MD ME的最小值为( )
A.3 2√2 B.4 3√3 C.2 2√13 D.10
【解析】:将△AMD绕点A逆时针旋转60°得到△AM'D',MD=M'D',易得到△ADD'和△AMM'均为等边三角形,∴AM=MM',∴MA MD ME=D'M MM' ME,
∴D′M、MM′、ME共线时最短,
由于点E也为动点,

∴当D'E⊥BC时最短,此时易求得D'E=DG GE=4 3√3,
∴MA MD ME的最小值为4 3√3.故选:B.
本题考查轴对称、旋转变换、矩形的性质等知识,解题的关键是学会添加常用辅助线,构造等边三角形解决问题,学会用转化的思想思考问题,属于中考选择题中的压轴题.
变式1.(2018春•滨湖区期末)如图,在▱ABCD中,AB=4,BC=6,∠ABC=60°,点P为▱ABCD内一点,点Q在BC边上,则PA PD PQ的最小值为( )

A.√3 √7 √19 B.6 2√3 C.5√3 D.10
【解析】:∵▱ABCD中,∠ABC=60°,∴AD=BC=6,
∴将△APD绕点A逆时针旋转60°得到△AFE,则△AFP是等边三角形,AE=AD=6,∠EAD=60°,
∴PA=FP,EF=PD,
作EH⊥BC于H,交AD于N,如图所示:
∵PA PD PQ=EF FP PQ≥EH,
则EN=AE•sin60°=6×√3/2=3√3,NH=AB•sin60°=4×√3/2=2√3,
∴EH=3√3 2√3=5√3,∴PA PD PQ≥5√3,
∴PA PD PQ的最小值为5√3,故选:C.

变式2.(2018秋•武昌区期中)如图,四边形ABCD是菱形,AB=6,且∠ABC=60°,M是菱形内任一点,连接AM,BM,CM,则AM BM CM的最小值为______.
【解析】:如图,将△ABM绕点B逆时针旋转60°得到△EBN,连接MN,AE,EC.作EF⊥CB交CB的延长线于点F.

∵△ABE是等边三角形,∴BA=BE,∠ABE=60°.
∵∠MBN=60°,∴∠MBN﹣∠ABN=∠ABE﹣∠ABN.即∠MBA=∠NBE.
又∵MB=NB,∴△AMB≌△ENB(SAS),∴AM=EN,
∵∠MBN=60°,MB=NB,∴△BMN是等边三角形.
∴BM=MN.∴AM BM CM=EN MN CM.
根据"两点之间线段最短",得EN MN CM=EC最短
∴当M点位于BD与CE的交点处时,AM BM CM的值最小,即等于EC的长,
过E点作EF⊥BC交CB的延长线于F,∴∠EBF=180°﹣120°=60°,
∵BC=AB=BE=6,

本题考查了菱形的性质,全等三角形的判定与性质,等边三角形的性质,两点之间线段最短和旋转的问题,解题的关键是学会利用旋转法添加辅助线,属于中考填空题中的压轴题.
2.(2019秋•东西湖区期中)若点P为△ABC所在平面上一点,且∠APB=∠BPC=∠CPA=120°,则点P叫做△ABC的费马点.当三角形的最大角小于120°时,可以证明费马点就是"到三角形的三个顶点的距离之和最小的点".即PA PB PC最小.
(1)如图1,向△ABC外作等边三角形△ABD,△AEC.连接BE,DC相交于点P,连接AP.

①证明:点P就是△ABC费马点;
②证明:PA PB PC=BE=DC;
(2)如图2,在△MNG中,MN=4√2,∠M=75°,MG=3.点O是△MNG内一点,则点O到△MNG三个顶点的距离和的最小值是 .
【解析】(1)证明:①如图1﹣1中,作AM⊥CD于M,AN⊥BE于N设AB交 CD于O.

∵△ADB,△ACE都是等边三角形,
∴AD=AB,AC=AE,∠DAB=∠CAE=60°,
∴∠DAB=∠BAE,∴△ADC≌△ABE(SAS),
∴CD=BE,S△DAC=S△ABE,∠ADC=∠ABE,
∵AM⊥CD,AN⊥BE,∴1/2•CD•AM=1/2•BE•AN,
∴AM=AN,∴∠APM=∠APN,
∵∠AOD=∠POB,∴∠OPB=∠DAO=60°,
∴∠APN=∠APM=60°,∴∠APC=∠BPC=∠APC=120°,
∴点P是就是△ABC费马点.
②在线段PDA上取一点T,使得PA=PT,连接AT.
∵∠APT=60°,PT=PA,∴△APT是等边三角形,

∴∠PAT=60°,AT=AP,
∵∠DAB=∠TAP=60°,∴∠DAT=∠BAP,∵AD=AB,
∴△DAT≌△BAP(SAS),∴PB=DT,
∴PD=DT PT=PA PB,
∴PA PB PC=PD PC=CD=BE.
(2)解:如图2:以MG为边作等边三角形△MGD,以OM为边作等边△OME.连接ND,作DF⊥NM,交NM的延长线于F.
∵△MGD和△OME是等边三角形
∴OE=OM=ME,∠DMG=∠OME=60°,MG=MD,
∴∠GMO=∠DME
易证△GMO≌△DME(SAS),∴OG=DE
∴NO GO MO=DE OE NO

∴当D、E、O、M四点共线时,NO GO MO值最小,
∵∠NMG=75°,∠GMD=60°,
∴∠NMD=135°,∴∠DMF=45°,
本题属于三角形综合题,考查了旋转的性质,等边三角形的性质,勾股定理,最短路径问题,构造等边三角形是解答本题的关键.
3.(2020•崇川区校级模拟)(1)【操作发现】
如图1,将△ABC绕点A顺时针旋转50°,得到△ADE,连接BD,则∠ABD=______度.

(2)【解决问题】
①如图2,在边长为√7的等边三角形ABC内有一点P,∠APC=90°,∠BPC=120°,求△APC的面积.
②如图3,在△ABC中,∠ACB=90°,AC=BC,P是△ABC内的一点,若PB=1,PA=3,∠BPC=135°,则PC=________.
(3)【拓展应用】
如图4是A,B,C三个村子位置的平面图,经测量AB=4,BC=3√2,∠ABC=75°,P为△ABC内的一个动点,连接PA,PB,PC.求PA PB PC的最小值.
【解析】(1)【操作发现】
解:如图1中,

∵△ABC绕点A顺时针旋转50°,得到△ADE,
∴AD=AB,∠DAB=50°,
∴∠ABD=( 180°- 50°)/2==65°,故答案为:65.
(2)【解决问题】
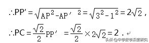
①解:如图2中,∵将△APB绕点A按逆时针方向旋转60°,得到△AP′C′,
∴△APP′是等边三角形,∠AP′C=∠APB=360°﹣90°﹣120°=150°,
∴PP′=AP,∠AP′P=∠APP′=60°,
∴∠PP′C=90°,∠P′PC=30°,

②如图3,将△CBP绕着点C按顺时针方向旋转90°,得到△CAP′,
∵CP′=CP,∠P′CP=∠ACB=90°,∴△P′CP为等腰直角三角形,
∴∠CP'P=45°,
∵∠BPC=135°=∠AP'C,∴∠AP′P=90°,
∵PA=3,PB=1,∴AP′=1,

(3)【拓展应用】
解:如图4中,将△APB绕B顺时针旋转60°,得到△EDB,连接PD、CE.
∵将△APB绕B顺时针旋转60°,得到△EDB,
∴∠ABP=∠EBD,AB=EB=4,∠PBD=60°,
∴∠ABP ∠PBC=∠EBD ∠PBC,
∴∠EBD ∠PBC=∠ABC=75°,∴∠CBE=135°,
过点E作EF⊥CB交CB的延长线于点F,∴∠EBF=45°,

本题是几何变换综合题,考查了旋转变换的性质,等腰三角形的性质,等边三角形的性质,等腰直角三角形的性质,三角形的面积,勾股定理等知识,解题的关键是添加常用辅助线,构造直角三角形解决问题.
4.(1)阅读材料:如图(1),四边形ABCD是正方形,△ABE是等边三角形,M为对角线BD(不含B点)上任意一点,将BM绕点B逆时针旋转60°得到BN,连接EN、AM、CM,
①求证:△AMB≌△ENB;
②当M点在何处时,AM CM的值最小;③当M点在何处时,AM BM CM的值最小,并说明理由;
(2)根据阅读材料所提供的数学思想和方法,完成下面的题目:如图(2),A、B、C、D四个城市恰好为一个正方形的四个顶点,要建立一个公路系统,使每两个城市之间都有公路相通,并使整个公路系统的总长为最短,应当如何修建?请画出你的设计图.

【分析】(1)①由"SAS"可证△AMB≌△ENB;
②由两点之间,线段最短可求解;
③根据"两点之间线段最短",当M点位于BD与CE的交点处时,AM BM CM的值最小,即等于EC的长;
(2)作等边△ABQ和等边△CDP,等边△CEH,利用(1)中的结论,可求解.
【解答】:(1)①∵四边形ABCD是正方形,△ABE是等边三角形,
∴AB=BC=BE,∠ABE=60°,
∵将BM绕点B逆时针旋转60°得到BN,
∴BN=BM,∠MBN=60°,∴∠ABE=∠MBN,
∴∠EBN=∠ABM,且AB=BE,MB=NB,∴△AMB≌△ENB(SAS);
②当M点落在BD的中点时,A、M、C三点共线时,AM CM的值最小;
③如图1,连接CE,当M点位于BD与CE的交点处时,AM BM CM的值最小,

理由如下:连接MN,
由(1)知,△AMB≌△ENB,∴AM=EN,
∵∠MBN=60°,MB=NB,
∴△BMN是等边三角形,∴BM=MN,
∴AM BM CM=EN MN CM,
根据"两点之间线段最短",得EN MN CM=EC最短,
∴当M点位于BD与CE的交点处时,AM BM CM的值最小,即等于EC的长;
(2)如图2,作等边△ABQ和等边△CDP,等边△CEH,
同理可证△CHP≌△CED,则CH=CE,PH DE,
∴DE CE=PH HE,
∴点H,点P,点E三点共线时,DE CE的值最小值为PE,

同理,AF BF的最小值为FQ,
∴DE CE EF AF BF≥PE FE FQ,
∴点P,点E,点F,点Q共线时,并使整个公路系统的总长为最短,
即最短距离为PQ,
∴设计图:(∠EDC=∠ECD=∠FAB=∠FBA=30°)
5.如图,四边形ABCD是正方形,△ABE是等边三角形,M为对角线BD(不含B点)上任意一点,连结AM、CM.
(1)当M点在何处时,AM CM的值最小;
(2)当M点在何处时,AM BM CM的值最小,并说明理由;
(3)当AM BM CM的最小值为√3 1时,求正方形的边长.

【分析】(1)根据"两点之间线段最短",可得,当M点落在BD的中点时,AM CM的值最小;
(2)根据"两点之间线段最短",当M点位于BD与CE的交点处时,AM BM CM的值最小,即等于EC的长(如图);
(3)作辅助线,过E点作EF⊥BC交CB的延长线于F,由题意求出∠EBF=30°,设正方形的边长为x,在Rt△EFC中,根据勾股定理求得正方形的边长为√2.
【解答】:(1)当M点落在BD的中点时,AM CM的值最小.
(2)如图,连接CE,当M点位于BD与CE的交点处时,AM BM CM的值最小.

理由如下:∵M是正方形ABCD对角线上一点,∴AM=CM,
又∵AB=BC,BM=BM,∴△ABM≌△CBM,∴∠BAM=∠BCM,
又∵BE=BA=BC,∴∠BEC=∠BCM,∴∠BEC=∠BAM,
在EC上取一点N使得EN=AM,连结BN,
又∵EB=AB,∴△BNE≌△ABM,∴∠EBN=∠ABM,BN=BM,
又∵∠EBN ∠NBA=60°,∴∠ABM ∠NBA=60°,即∠NBM=60°,
∴△BMN是等边三角形.∴BM=MN.∴AM BM CM=EN MN CM.
根据"两点之间线段最短",得EN MN CM=EC最短,
∴当M点位于BD与CE的交点处时,AM BM CM的值最小,即等于EC的长.
(3)过E点作EF⊥BC交CB的延长线于F,

∴∠EBF=90°﹣60°=30°
1.如图,已知边长为√2的等边△ABC,在平面内找一点P,使得:

(1)PA+√2PB+PC最小?并求出此最值;
(2)PA+√3PB+PC最小?并求出此最值.
解析:本题为加权费马点问题
(1)将CP绕点C旋转90°得到CP′,同时将CA绕点C旋转90°得到CA′,连A′P′,连A ′B.
则PA+√2PB+PC最小值=A′B=√3 1

(2)答案:2√2
提示:将CP绕点C旋转120°得到CP′,同时将CA绕点C旋转120°得到CA′,连A′P′,连A ′B
则PA+√2PB+PC最小值=A′B=2√2.
2.(1)如图,在△ABC中,∠ACB=90°,AB=4, AC=2, 点P是△ABC内一点,求PA √2PB PC的最小值(特殊类型:系数中出现√2)

(2) 如图,在△ABC中,∠ACB=90°,AB=4, AC=2, 点P是△ABC内一点,求PA √3PB PC的最小值(特殊类型:系数中出现√3)
方法总结:当系数中出现或时,将对应的线段旋转90°或120°,将三条线段的和的问题转化成两点之间的距离,进而快速将问题解决。
(3) .在△ABC中,AB=AC=4,∠BAC=90°,点P为△ABC内一点,求的
√3PA PB 2PC最小值。

(5).在△ABC中,AB=AC=4, ∠BAC=90°,点P为△ABC内一点,求4PA 3PB 5PC的最小值。
(6) .在△ABC中,AB=AC=4, ∠BAC=90°,点P为△ABC内一点,求3PA 4PB 5PC的最小值。

解题之道:折转直;
解题之术:作旋转, 利用旋转的方法可以把线段进行转移;

解题之本:我们知道PA、PB、PC二条线段是极度分散的,利用两点间线段最短或者垂线段最短都不行,那首先要想力法将分散的线段集中起来,这样才能进行数学分析。
通过旋转变换,可以改变线段的位置,优化图形的结构。在使用这一方法解题时需注意图形旋转变换的基础,即存在相等的线段,一般地,当题目出现等腰三角形(等边三角形)、正方形条件时,可将图形作旋转60°或90°的几何变换,将不规则图形变为规则图形,或将分散的条件集中在一起,以便挖掘隐含条件,使问题得以解决。费尔马问题是个有趣的数学问题,这些问题常常可通过旋转变换来解决。
本文关键词:加权费马点最值问题,直角三角形费马点最值问题,正方形费马点最值问题,费马点最值问题证明,费马点最值问题。这就是关于《费马点最值问题,中考数学最值问题模型(初中数学几何最值-费马点问题经典题例)》的所有内容,希望对您能有所帮助!








